apziņas · mijkrēslī · dziļā · pamostas · bezgalība

Entries · Archive · Friends · Profile

* * *
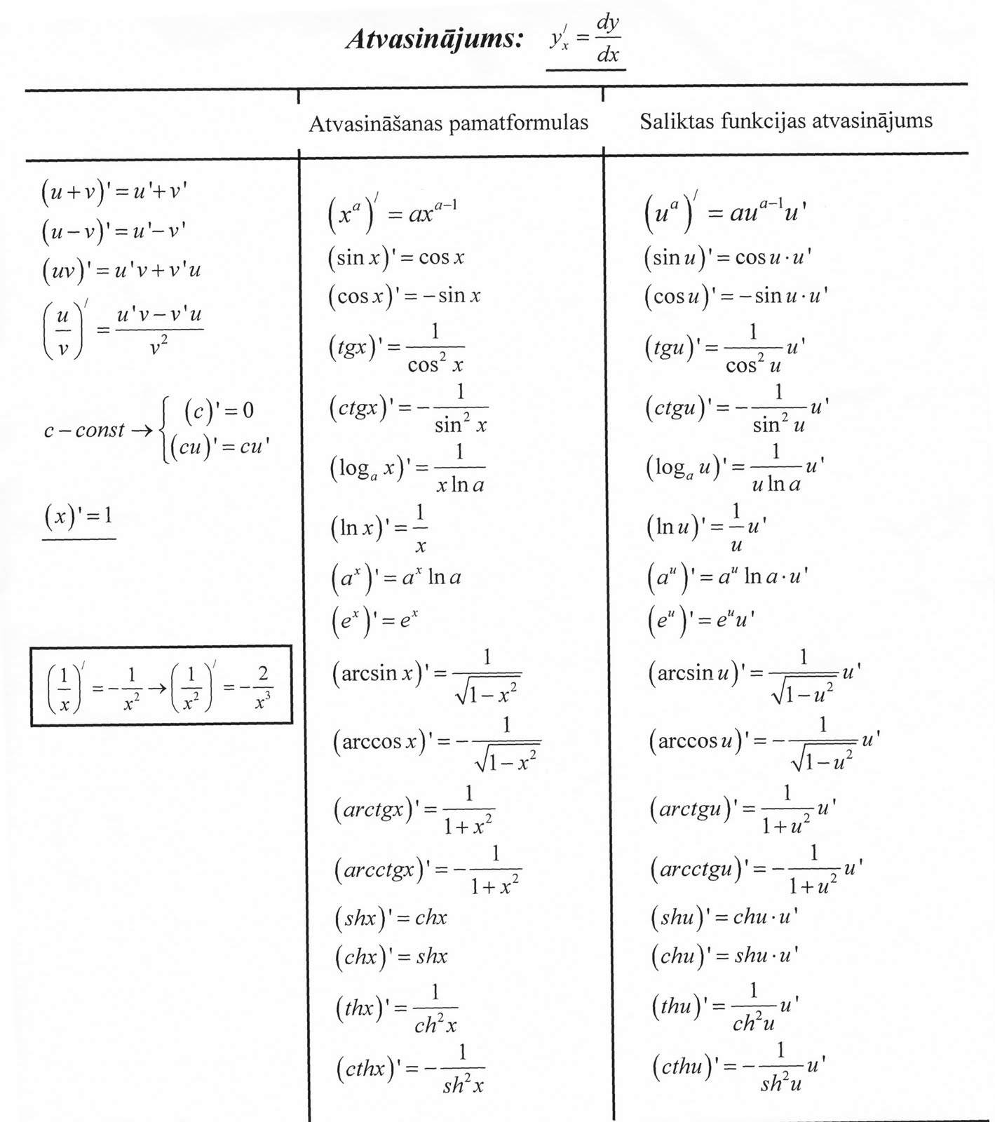
murgot par to, ka esmu joprojām vidusskolā, tulīt jāliek matemātikas eksāmens, bet visus trīs gadus stundu sarakstā kāds šo priekšmetu bija aizmirsis ielikt. un es neatceros neko no integrēšanas un atvasināšanas. un es arī īstenībā neatceros neko. bet es paņemšu kādu kladi un vai grāmatu priekšā un atsaukšu to visu atmiņā, citādi tā stulbi.
* * *

Previous Entry · Leave a Comment · Add to Memories · Tell A Friend · Next Entry

* * *
* * *

Previous Entry · Leave a Comment · Add to Memories · Tell A Friend · Next Entry